Files
notes/uni/mmme/2047_thermodynamics_and_fluid_dynamics/turbines.md

2.3 KiB
Executable File

author, date, title, tags, uuid, lecture_slides, lecture_notes, exercise_sheets
author date title tags uuid lecture_slides lecture_notes exercise_sheets
Akbar Rahman \today MMME2047 // Turbomachinery // Turbines
turbomachinery
turbines
1690fa4a-086a-4c2e-b52e-8a6fe7ddb62c
./lecture_slides/T5 - Turbomachinery - with solutions.pdf
./lecture_notes/turbomachinery lecture notes(H Power).pdf
./exercise_sheets/Turbomachinery-problems.pdf

Turbines extract energy from a fluid, taking it from a higher head to a lower head state.

There are two types of turbines:

  • reaction turbine --- essentially the inverse of a centrifugal pump (lecture slides p. 55-56)
  • impulse turbine --- high pressure of the flow is converted into a high speed jet (lecture slides p. 57)

Dimensionless Turbine Performance

The dimensionless groups are the same as in pumps:

\begin{align} C_H &= \frac{gH}{n^2D^2} &\text{Head coefficient} \ C_P &= \frac{P}{\rho n^3D^5}&\text{Power coefficient} \ C_Q &= \frac{Q}{nD^3}&\text{Capacity coefficient} \ \end{align}

However, in a turbine the efficiency is written as:

\eta = \frac{P}{P_w} = \frac{P}{\rho QgH}

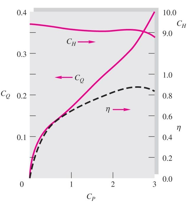
Additionally, similarly to how pumps performances can be approximated as a function of only C_Q, the performance of a pump can be approximated to a function of C_P:

\begin{align*} C_H &\approx g_3(C_P) C_Q &\approx g_4(C_P) \end{align*}

Performance curve for a Francis radial turbine

The maximum efficiency point for turbines is called normal power.

Power Specific Speed

Equivalent to specific speeds for pumps.

N'_{SP} = \frac{C_P^{\frac12}}{C_H^{\frac54}}

Pump efficiency curves for different types of pumps.

Wind Turbines

There are two types of turbines:

  • horizontal axis wind turbine (hawt)
  • vertical axis wind turbine (vawt)

The lecture slides (p. 65-70) detail the wind turbine theory, but this will not be assessed.

Horizontal Axis Wind Turbine (HAWT)

Picture of a HAWT

They come with a couple advantages:

  • more efficient than VAWT
  • taller than VAWT therefore more efficient

Vertical Axis Wind Turbine (VAWT)

Picture of a VAWT

  • smaller than HAWT, therefore cheaper
  • gearbox and generator can be put at ground level
  • easier to build and maintain
  • quieter
  • can be used in places where wind changes frequently