Files
notes/uni/mmme/2053_mechanics_of_solids/fracture.md

3.9 KiB
Executable File

author, date, title, tags, uuid
author date title tags uuid
Akbar Rahman \today MMME2053 // Fracture
uni
mmme2053
fracture
materials
engineering
17315e63-3870-428b-b65d-a5d249768c05

Fracture

  • Consider the stress concentration factor (SCF) for an elliptical hole in a large, linear-elastic plate subjected to a remote, uniaxial stress

  • It can be shown that SCF can be expressed as:

    K_t = \frac{\sigma_\text{max}^\text{el}}{\sigma_\text{nom}} = 1 + 2\frac{a}{b}
  • Therefore as b \rightarrow 0, the hole degenerates to a crack and \frac ab \rightarrow \infty \therefore K_t \rightarrow \infty, provided the material behaviour remains linear elastic

Basis of the Energy Approach to Fracture Mechanics

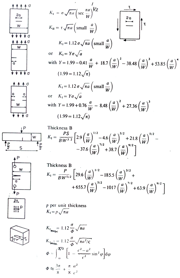
There are three modes of loading cases: K_\text{I}, K_\text{II}, K_\text{III}.

  • Generally, for geometries with finite boundaries, K_\text{I} is used:

    K_\text{I} = Y\sigma\sqrt{a\pi}

    where Y is a function of the crack and a is never mentioned in the slides (slide 6)

    TODO: find out what Y and a are

  • K_\text{I} is the Mode-1 stress-intensity factor which defined the magnitude of the elastic stress field in the vicinity of the crack tip

  • K_\text{II} and K_\text{III} are similar

  • The energy release release rate under mixed loading is given by

    K_\text{total} = K_\text{I} + K_\text{II} + K_\text{III}

Typical Fracture Toughness Values

Material \sigma_y / Nm$^{-2}$ K_\text{Ic} / Nm$^{-1.5}$
Mild steel 220 140 to 200
Pressure vessel steel (HY130) 1700 170
Aluminium Alloys 100 to 600 45 to 23
Cast Iron 200 to 1000 20 to 6

Fatigue Crack Growth

  • for a wide range of conditions, there is a logarithmic linear between crack growth rate and intensity factor range during cyclic loading of cracked components

  • it allows crack growth to be modelled and estimated based on

    • knowledge of crack and component geometry
    • loading conditions
    • empirical crack growth data

Considering a load cycle as shown in figure \ref{fig:p-vs-t} which gives rise to a load acting on a cracked body

A graph of P vs t \label{fig:p-vs-t}

  • The load range and crack geometry gives rise to a cyclic variation in stress intensity factor:

    \Delta K = K_\text{max} - K_\text{min}
  • Paris showed that subsequent crack growth can be modelled by following equation

    \frac{\mathrm{d}a}{\mathrm{d}N} = C\Delta K^m

    where C and m are empirically determined material constants.

  • Fatigue crack growth data is often as \log \frac{\mathrm{d}a}{\mathrm{d}N} against \log{\Delta K}

  • Below K_\text{th}, no observable crack growth occurs

  • Region II shows a near linear relationship---this is the region which fail by fatigue failure spend most of their life

  • In region III rapid crack grown occurs and little life is involved

  • the fatigue crack growth life of the component can be obtained by integrating the Paris equation between the limits of the initial crack size and final crack size, given that you know the stress intensity factor

Typical Values for \Delta K_\text{th}, m, and \Delta K

Material \Delta K_\text{th} m \Delta K for \frac{\mathrm{d}a}{\mathrm{d}N} = 10^{-6}
Mild Steel 4 to 7 3.3 6.2
Stainless Steel 4 to 6 3.1 6.3
Aluminium 1 to 2 2.9 2.9
Copper 1 to 3 3.9 4.3
Brass 2 to 4 4.0 4.3 to 66.3
Nickel 4 to 8 4.0 8.8