2.3 KiB
Executable File
author, date, title, tags, uuid, lecture_slides, lecture_notes, exercise_sheets
| author | date | title | tags | uuid | lecture_slides | lecture_notes | exercise_sheets | |||||
|---|---|---|---|---|---|---|---|---|---|---|---|---|
| Akbar Rahman | \today | MMME2047 // Turbomachinery // Turbines |
|
1690fa4a-086a-4c2e-b52e-8a6fe7ddb62c |
|
|
|
Turbines extract energy from a fluid, taking it from a higher head to a lower head state.
There are two types of turbines:
- reaction turbine --- essentially the inverse of a centrifugal pump (lecture slides p. 55-56)
- impulse turbine --- high pressure of the flow is converted into a high speed jet (lecture slides p. 57)
Dimensionless Turbine Performance
The dimensionless groups are the same as in pumps:
\begin{align} C_H &= \frac{gH}{n^2D^2} &\text{Head coefficient} \ C_P &= \frac{P}{\rho n^3D^5}&\text{Power coefficient} \ C_Q &= \frac{Q}{nD^3}&\text{Capacity coefficient} \ \end{align}
However, in a turbine the efficiency is written as:
\eta = \frac{P}{P_w} = \frac{P}{\rho QgH}
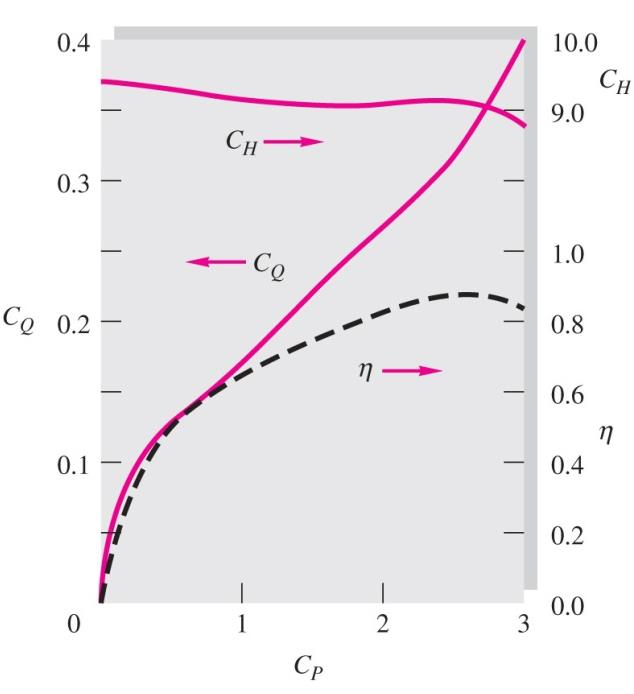
Additionally, similarly to how pumps performances can be approximated as a function of only C_Q,
the performance of a pump can be approximated to a function of C_P:
\begin{align*} C_H &\approx g_3(C_P) C_Q &\approx g_4(C_P) \end{align*}
The maximum efficiency point for turbines is called normal power.
Power Specific Speed
Equivalent to specific speeds for pumps.
N'_{SP} = \frac{C_P^{\frac12}}{C_H^{\frac54}}
Wind Turbines
There are two types of turbines:
- horizontal axis wind turbine (hawt)
- vertical axis wind turbine (vawt)
The lecture slides (p. 65-70) detail the wind turbine theory, but this will not be assessed.
Horizontal Axis Wind Turbine (HAWT)
They come with a couple advantages:
- more efficient than VAWT
- taller than VAWT therefore more efficient
Vertical Axis Wind Turbine (VAWT)
- smaller than HAWT, therefore cheaper
- gearbox and generator can be put at ground level
- easier to build and maintain
- quieter
- can be used in places where wind changes frequently



